반응형
저도 루프펀딩의 피해자로서 (10,000,000원을 투자하였습니다.) 가장 최근에 루프펀딩 원고별 판결금에 대한 내용이 법원에서 나와서, 잊지 않기 위해서 포스팅하려 합니다.







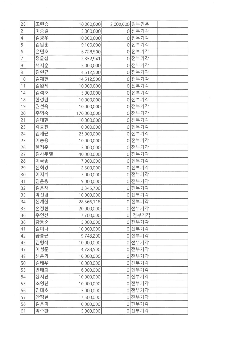
아래의 글은 루프펀딩 소송에서 가장 선두에서 지휘해 주신 즈나님의 글입니다.
법원에서 인정해준 원고별 판결금 따로 정리한 리스트입니다. (feat. 즈나)
제 입장이 궁금하신 분들이 계실 거라 생각해서 남기자면,
기타 여러 설명은 또 다른 오해를 남길 수 있을 거 같아서, 짧게 쓰자면
전 일상으로 돌아왔습니다.
루프는 잊었습니다.
혹시 승소 판결을 받으신 분들 중에 더 진행을 원하시는 분들은
법무법인 우신 정영근 변호사 032-861-2226으로 전화 주시길 바랍니다.
박성보 국장 010-8913-9849 sb66@naver.com
이쪽으로 연락 주시길 바랍니다.
제가 알고 있는 순서도를 보자면,
판결문을 가지고, 직접 재산압류, 근저당, 경매 or 추심 의뢰 (보통 회수금액의 20~25% 수수료)
입니다만, 이 모든 게 상대방의 재산이 있어야 하고, 배당 순위가 내 차례까지 돌아와야 합니다.
Q1. 판결금 있으면 이제 이걸로 청구 진행해야 하나요..?
- 이 판결문을 가지고, 직접 압류 경매 같은 추심을 할 수 있습니다.
Q2. 인용금액으로 인정된 건 받는다는 건가요?
- 법원에서 받을 권리를 인정을 받은 것이고, 받는 건 별개의 문제입니다.
Q3. 전부기각이면 받을 돈이 없다는 건가요?
- 맞습니다. 법원에서 투자 손실로 보는 것입니다.
Q4. 루프펀딩 받을 재산은 있나요?
- 인정받은 현장을 등기부등본을 떼서 확인해 본 결과, 일부 현장이 아직 매각이 안된 채로 남아있다고 합니다.
자세한 건 우신에 문의 바랍니다.
Q5. 추심은 각자 하나요? 단체로 하나요?
- 금액과 현장이 모두 개별적이고 소송이 끝났기 때문에, 각자 진행을 하는 게 맞는 거 같습니다.
저는 전부기각으로 단 한 푼도 돌려 받을 수 없게 되었습니다. 법원에서 고위험군에 투자한 투자자의 손실로 보고 종료한 것입니다. 한푼도 받지 못하는 것을 너무나 아깝게 생각합니다.
총 39억 수준의 돈이 투자되었음에도 불구하고, 4억 정도밖에 돌려받지 못하며, 위의 금액 또한 추심을 마무리 지었을 때, 받을 수 있는 금액이라고 생각하니, 우리나라는 사기꾼에 너무나도 관대한 나라라는 생각이 듭니다. 물론 제가 18%의 연이율에 혹해서 묻지 마 투자를 한 것이 문제라면 문제였겠죠. '차라리 코인투자를 할 걸 그랬나 보다'라는 생각도 듭니다.
앞으로도 긴 싸움이 될 것 같습니다.
꾸준히 파고들어서 어떤 결과가 나오는지 확인하도록 하겠습니다.
아래의 사진은 제가 소딧, 투게더펀딩, 시소펀딩, 루프펀딩 등 수많은 위험한 투자를 하고 있을때의 글을 정리했던 차트입니다. 꽤 많은 이자소득을 얻었지만, 많은 원금을 잃었습니다.
투자를 하실때는 잃어도 될만 한 금액으로 진행하시길 바랍니다.

반응형
'일상정리' 카테고리의 다른 글
| 할리스 홍제천점 (와이파이 비밀번호, 화장실 비밀번호) (0) | 2024.11.30 |
|---|---|
| 당근알바, 당근아르바이트 [기업이사 전문기업 에이원] (2) | 2024.04.28 |
| 나의 MBTI (ISTP) (0) | 2023.09.11 |
| 드디어 애드센스 핀번호 도착 (0) | 2022.10.18 |
| 아웃백 토마호크 프리미엄 초이스 리뷰 (김포현대프리미엄아울렛점) (0) | 2022.08.11 |